Grundlagen Computernetze


Prof. Jürgen Plate

Übertragungsmedien

Egal wie das Kabel letztendlich aussieht, gibt es bei allen Kabeln ein paar grundlegende Eigenschaften. Jeder Leiter hat einen gewissen Gleichstromwiderstand, der abhängt vom spezifischen Widerstand des Materials (r), vom Querschnitt des Leiters (A) und von seiner Länge (l):

R = r * l/A

Für die Anwendung im Netz wesentlich wichtiger ist der Wechselstromwiderstand des Kabels. Wenn wir ein kurzes Leitungsstück betrachten, bildet die Leitung eine Induktivität L, die in Serie zum ohmschen Widerstand liegt. Die nebeneinanderliegenden Leiter und der Rückleiter bilden eine Kapazität C. Schließlich gibt es zwischen beiden Leitern noch einen sehr hohen Isolationswiderstand G. Man kann das Leiterstück also durch eine Ersatzschaltung wie im Bild annähern.

Das Kabel setzt sich dann aus vielen dieser kleinen Schaltungen zusammen, die hintereinandergeschaltet sind. Betrachtet man das Leitungsstück dx, in dem der Strom I(x,t) fliesst, so ergibt sich ein Spannungsabfall U(x,t) über L und R nach dem ohmschen Gesetz die linke Gleichung. Mit der Knotenregel erhalten wir ausserdem die rechte Gleichung:

Differenziert man die erste Gleichung nach x und eliminiert man den Term dI/dx bleibt eine Differentialgleichung für die Spannung U(x) übrig, die sogenannte Telegraphengleichung (analog läßt sich das für den Strom erledigen):

Als Lösung erhalten wir gedämpfte Wellen entlang des Leiters:

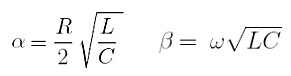
γ nennt man "komplexe Dämfungskonstante". Ihr Realteil α beschreibt die Dämpfung, der Imaginärteil β die Wellenzahl. Für eine verlustfreie Leitung mit R = 0 und G = 0 gilt α = 0 sowie:

Man nennt das Verhältnis von Spannung zu Strom in der Leitung analog dem ohmschen Gesetz "Wellenwiderstand" oder "Wellenimpedanz" Z. Durch Einsetzen der Gleichung erhält man:

Für den Fall einer sogenannten Widerstandsdämpfung (R > 0, aber G = 0) erhalten wir:

Damit ist für ω = R/L die Wellenzahl β nicht mehr genau proportional zu ω, sondern etwas größer. Die Phasengeschwindigkeit ω/β wird frequenzabhängig kleiner, d.h. wir haben "Dispersion"; Signale werden verzerrt übertragen. Auch Z ist dann frequenzabhängig und wird für kleine Frequenzen größer. Für hohe Frequenzen verschwindet die Dispersion.

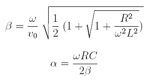
Für die oben stehenden Gleichungen gilt, daß bei hohen Frequenzen die induktive Reaktanz viel größer ist als der ohmsche Widerstand (ωL >> R). Es wird ferner angenommen, daß die Ableitung verschwindend gering ist (G = 0). Es gilt:

Nach dieser Gleichung scheint α frequenzabhängig zu sein.

Hier kommt jedoch ein anderer Effekt zu Tage. Der "Skineffekt" bewirkt, dass die Stromdichte an der Oberfläche eines metallischen Körpers nach innen exponentiell abnimmt. Durch das elektromagnetische Feld des Stromes entstehen Wirbelströme im Leiter, durch welche ein nicht leitender Bereich in der Leitung entsteht. Der Leiterquerschnitt wird effektiv verringert und somit der Widerstand erhöht. Ein Gleichstrom I erzeugt ein konstantes Magnetfeld H. Für Wechselstrom erzeugt dI/dt entsprechend dH/dt. Ein magnetisches Wechselfeld dH/dt erzeugt seinerseits aber ein elektrisches Feld, was wieder den Strom I beeinflußt.

Die mittlere Eindringtiefe des Stromes ist frequenzabhängig:

(μ = Permeabilität ρ = Leitfähigkeit) Typische Werte sind für Kupfer bei 1 MHz 70μm, bei 1 GHz 2 μm. Der effektive Kabelwiderstand nimmt also mit der Frequenz zu; demzufolge hat man auch eine Frequenzabhängigkeit der Dämpfung. Um die Oberfläche des Leiters zu vergrößern und so die Leitfähigkeit zu verbessern, nimmt man für Hochfrequenz-Anwendungen oft Kupferfolien, mehrere Litzen oder - bei ganz hohen Frequenzen - Hohlleiter. Dazu ein Zahlenbeispiel: Das Koaxkabel RG 178 hat Z = 50Ω, R = 0,45 Ω/m, L = 240 nH/m und C = 95 pF/m. Bei 2 MHz und 100 m Länge wird das Signal um einen Drittel reduziert, bei 200 MHz sogar um 99%.

Die Sache ist in der Praxis noch komplizierter, da weitere Effekte hinzukommen.

Andert sich die Geometrie der Leitung an einer bestimmten Stelle, so ändern sich auch Ausbreitungsgeschwindigkeit und Impedanz. Ein spezieller Fall ist das Ende einer Leitung. Es sei mit einem Widerstand R abgeschlossen. Ist R = Z, so ist der Widerstand "angepasst", die Energie der ankommenden Welle wird im Widerstand vernichtet, der Reflexionsfaktor r = 0. Für alle anderen Werte von R ist er definiert als r = (R - Z)/(R + Z). Für ein offenes Kabelende (R unendlich) geht r gegen 1. Die reflektierte Spannung ergibt sich aus der Signalspannung multipliziert mit dem Reflexionsfaktor (das gleiche gilt für den Strom). Daraus folgt, daß offene Leitungen (bzw. R groß) führen zu Refexionen von Signalen mit gleichem Vorzeichen, kleine Widerstandswerte (Kurzschluss) führen zu Reflexionen mit umgekehrtem Vorzeichen. Für die störungsfreie Datenübertragung sollte die Leitung also mit R = Z abgeschlossen sein. Offene oder kurzgeschlossene Leitungen lassen sich zur Messung von Leitungslängen und Lokalisierung von Impedanzinhomogenitäten nutzen.

Der Wellenwiderstand eines realen Kabels ist seine Kenngröße, die angibt, mit welchem Ohmschen Widerstand eine Leitung abgeschlossen werden muss, damit Anpassung erfolgt (keine Reflexionen). Zur Berechnung des Wellenwiderstandes werden die physischen Eigenschaften des Kabels benötigt, also konstante Größen, die von Leitungsmaterial und der Leitungsgeometrie abhängen. In der Informations- und Kommunikationstechnik werden üblicherweise Kabel und Leitungen mit einem Widerstand abgeschlossen, um Reflexionen der Signale an den Kabelenden zu vermeiden.

Mißt man den Wechselstromwiderstand eines Kabels indem man ein Wechselspannungssignal einspeist, erhält man den spezifischen Wellenwiderstand des Kabels. Dazu misst man den Strom bei offenen und kurzgeschlossenen Leitungsenden. Nach den Strommessungen berechnet man aus der Generatorspannung UG und gemessenem Strom den Kurzschluss- und Leerlaufwiderstand, RK und RL:

RK = UG/IK (= ZK)      RL = UG/IL (= ZL)

Der Wellenwiderstand ZW der Leitung, ergibt sich aus Kurzschluss- und Leerlaufwiderstand:

Beim Ethernet ist der Wellenwiderstand auf 50 Ohm festgelegt. Die Grenzfrequenz ist erreicht, wenn die Ausgangsspannung 70% der Eingangsspannung erreicht hat. Die digitalen Signale, die auf das Netzwerkkabel geleitet werden, bilden auch eine (sehr oberwellenreiche) Wechselspannung.

Zu Beginn hat man sich beim Ethernet für Koaxialkabel entschieden. Sie bestehen aus einem äußeren Leiter, der einen innenliegenden Leiter vollständig umschließt und dadurch abschirmt. Die beiden Leiter sind durch einen Isolator elektrisch getrennt. Koaxkabel gibt es in verschiedenen Ausführungen, für das Ethernet werden Typen mit einem Wellenwiderstand von 50 Ohm verwendet. Die Konstruktion dieses Kabels ist aber nicht nur wegen der Abschirmung des inneren Leiters günstig, da sie noch einen anderes Phänomen der Hochfrequenztechnik ausnutzt: den oben beschriebenen Skineffekt.

Seit einigen Jahren werden fast nur noch verdrillte Zweidrahtleitungen (10BaseT) oder Glasfaserleitungen verwendet. Für einige Grundsatzbetrachtungen sind die Koaxialkabel aber immer noch interessant.

Die Definition des physikalischen Kanals ist aber nur ein Teil der IEEE 802.3-Spezifikation. Der Standard beschreibt physikalische Übertragung, die auch unser Thema ist, und Zugriffsverfahren, die sogenannten Protokolle. Auf der physikalischen Ebene sind Bezeichnungen wie 10Base5, 10Base2 und 10BaseT von Belang. Entscheidend sind dabei drei Parameter:
die Übertragungsrate, das Übertragungsverfahren (Basis- oder Breitband; 'Base' oder 'Broad') sowie Aussagen zur räumlichen Ausdehnung. Zur Unterscheidung und Charakterisierung der einzelnen Übertragungsmedien wurde folgende Systematik für die Kabelbezeichnung entwickelt:

<Datenrate in MBit/s><Übertragungsverfahren><Max. Länge/100 m>

Auch der Kabeltyp kann unterschiedlich sein. Vom Koaxkabel über Glasfasern bis zu verdrillten Zweidrahtleitungen ist alles vertreten.

Standard-Ethernet, 10Base5

Im weiteren wollen wir aber nur auf die Ethernet-Verkabelung eingehen. Das Standard-Ethernet besteht aus dem, meistens gelb isoliertem, 50-Ohm-Koaxialkabel mit ca. 10 mm Durchmesser (10,3 mm bei PVC-Isolierung, 9,5 mm bei PEP). Ein Kabelsegment darf maximal 500 m lang sein. Im Mindestabstand von 2,50 m können Media Attachment Units (MAUs) gesetzt werden. Zu diesem Zweck sind auf dem Kabel Markierungen angebracht. Die Ursache für den vorgeschriebenen Mindestabstand liegt darin, daß man eine Beeinflussung der MAUs untereinander ausschließen wollte. Das Bild zeigt schematisch den Anschluß an das Kabel.

An einen MAU kann über ein maximal 50 m langes Transceiverkabel eine Ethernet-Station angeschlossen werden. Maximal 100 Stationen können an einem Kabelsegment hängen. Der Biegeradius darf 20 cm nicht unterschreiten. Das Kabel muß zur Vermeidung von Reflexionen an beiden Enden mit einem 50-Ohm-Widerstand (1 Watt) terminiert werden.

Der Transceiver im MAU wird über einen TAP angeschlossen, bei dem Mittelleiter und Schirm kontaktiert werden, ohne das Kabel - und damit den Datenfluß auf dem Netz - zu unterbrechen.

Bei einem Defekt im Transceiverkabel wird das Netz nicht beeinflußt; lediglich die betroffene Station ist von der Kommunikation getrennt. Die paarweise verdrillten Leitungen im Transceiverkabel werden über Differenztreiber angesteuert, auf Empfangsseite sitzen Differenzverstärker. Störungen können sich so nur gering bemerkbar machen.

Anbindung der Arbeitsplätze direkt an das Yellow-Cable

Zum Anschluß der einzelnen Arbeitsplätze an das Netzwerk benötigt man pro Arbeitsplatz den oben erwähnten MAU. Er stellt die Verbindung von Rechner über den AUI-Port mit dem Netzwerk her. Diese Vorgehensweise birgt allerdings einige Probleme (z. B. Netzlast, usw.). Es existieren strenge Verlegevorschriften bezüglich Biegeradius, Anschlußmöglichkeiten der einzelnen Stationen usw.

Das Yellow Cable ist heute veraltet und sollte für Neuinstallationen nicht mehr eingesetzt werden. Es ist aber noch relativ häufig anzutreffen. Bei Anschlußfehlern werden die benachbarten Teile des Netzes betroffen. Außerdem wird für den Anschluß des MAU ein Spezialwerkzeug benötigt.

AUI-Kabel (Attachment Unit Interface, Transceiver-Kabel)

An einen MAU kann über ein maximal 50 m langes AUI-Kabel (Impedanz 100 Ohm) eine Ethernet-Station angeschlossen werden, z. B. eine Workstation, ein Terminalserver oder ein PC mit Ethernet-Einschubkarte. Das Kabel bietet die nötige Bewegungsfreiheit bei dem doch recht sperrigen "yellow cable". Im Transceiver-Anschlußkabel existieren zwei Leitungspaare für die beiden Senderichtungen. Der eigentliche Sender ist im wesentlichen eine Stromschleife, die zirka 65 mA treibt. Der Empfänger realisiert einen hochohmigen Abgriff des Signals vom Kabel, damit das Signal auf der Leitung nicht zu stark gedämpft wird. Weitere Leitungen liefern Informationen über Kollisionen. Zusätzlich erfolgt über das Kabel auch noch die Stromversorgung des Transceivers. Die Verbindung zum Transceiver bzw. zum Ethernet-Contoller erfolgt über 15polige SUB-D-Stecker. Das Kabel trägt die Stecker an den Netzkomponenten sind die Buchsen angebracht. Die Belegung der Stecker ist so gehalten, daß übereinanderliegende Pins jeweils die zueinander inversen Signale leiten:

PinSignal PinSignal
1 Schirm für Kollisionserkennung   
2 Kollisionserkennung + 9 Kollisionserkennung -
3 Sendedaten + 10 Sendedaten -
4 Schirm für Empfangsdaten 11 Schirm für Sendedaten
5 Empfangsdaten + 12 Empfangsdaten -
6 Masse 13 + 12 bis 15 V DC
7 Control Out + 14 Schirm für Stromversorgung
8 Schirm für Control Out 15 Control Out -

Thinwire-Ethernet (Cheapernet), 10Base2

Eine weitere Abweichung vom ursprünglichen Standard besteht im Einsatz dünnerer Koaxialkabel. Diese haben zwar eine höhere Dämpfung und geringere Störfestigkeit als das Yellow Cable, sind aber für kleinere Netze vollkommen ausreichend. Sie sind nicht nur billiger (daher auch der Spitzname 'Cheapernet'), sondern auch besser zu verlegen. Bei diesem Netz entfallen auch die externen Transceiver und die Anschlußkabel. Das Kabel wird unmittelbar an der Netzwerkkarte des Rechners vorbeigeschleift und mittels eines BNC-T-Stücks angeschlossen. Dazu muß das Koaxkabel durchtrennt und mit zwei BNC-Steckern versehen werden - das Netz wird also kurzzeitig unterbrochen. Der Transceiver ist mit auf dem Netzwerkinterface integriert. Es handelt sich um ein 50-Ohm-Kabel RG58A/U oder RG58C/U mit einem Durchmesser von 4,7 - 4,9 mm Durchmesser. Die maximale Länge eines Segmentes beträgt 185 m (nicht etwa 200 m, wie die "2" bei 10Base2 vermuten läßt) und es können bis zu 30 Stationen angeschlossen werden, deren Minimalabstand 0,5 m betragen muß. Beim Verlegen des Kabels darf der Biegeradius 5 cm nicht unterschreiten. Durch geeignete Repeater können Standard-Ethernet-Segmente mit dem Cheapernet verbunden werden.

Die 50-Ohm-Abschlußwiderstände sind in BNC-Stecker integriert und werden bei den beiden äußeren Stationen direkt auf das T-Stück gesetzt. Ein Defekt im Kabel, das ja an allen Stationen über die T-Stücke angeschlossen ist, betrifft somit auch alle Stationen.

Das direkte Vorbeischleifen des Kabels am Interface ist für das 10Base2-Interface zwingend notwendig, ein Verlängern des T-Stückes mit einer 'Stichleitung' ist aufgrund der Funktionsweise des Transceivers nicht möglich. Wenn man versuchen würde, einen 10Base2-Anschluß durch eine Stichleitung zu verlängem, wäre die saubere Ausbreitung der Welle nicht mehr gewährleistet und Reflexionen am Anfang und Ende der Stichleitung die Folge.

Den Nachteil des Vorbeischleifens macht das 10Base2-Kabel dadurch wett, daß es bei deutlich geringerem Preis einfacher zu verlegen ist als das herkömmliche Ethernet. Moderne Netzwerkkarten bieten übrigens Anschlußmöglichkeiten für Transceiver-Kabel (also konventionelles Ethernet), für BNC-T-Stücke (10Base2) und für 10BaseT-Kabel (siehe unten) und sind standardmäßig mit einem OnBoard-Transceiver ausgestattet. Damit ist eine große Flexibilität in der Installation gegeben, es muß lediglich auf der Netzwerkkarte die gewünschte Konfiguration eingestellt werden.

Anschluß der Arbeitsplätze an einen BNC-Strang

Die Ausführung eines Netzwerksegmentes mit BNC-Kabeln ist wesentlich kostengünstiger als mit Yellow-Cable. Das BNC-Kabel wird an einen BNC-Hub o. ä. angeschlossen welcher selbst beispielsweise am Yellow-Cable angeschlossen ist.

Das oben erwähnte T-Stück wird direkt an der Netzwerkkarte angeschlossen, die im Rechner eingebaut ist. Sollte es sich um den ersten bzw. letzten Rechner im Segment handeln, so wird dieser auch mit einem T-Stück angeschlossen. Jedoch wird hier der freibleibende Anschluß durch einen 50 Ohm-Abschlußwiderstand bestückt. Der Kabelanfang und das Kabelende müssen jeweils mit einem 50 Ohm Abschlußwiderstand abgeschlossen werden.

Die Verlängerung der einzelnen Segmente erfolgt mit Repeatern. Sie werden als Signalverstärker zwischen die einzelnen Segmente geschaltet. Mittels Multiportrepeatern kann man das Netzwerk an diesen Stellen auch aufsplitten und in verschiedene Einzelsegmente aufteilen. Allerdings sollte immer darauf geachtet werden, daß bei einer solchen Installation nicht zu viele Arbeitsplätze angeschlossen werden. Jede Arbeitsstation bedeutet zusätzliche Netzlast. Je geringer die Netzlast ist, desto höher ist die Arbeitsgeschwindigkeit des Netzwerkes.

BNC-Netz mit eigenem Server

Bei den beiden vorgenannten Versionen sind die Installationen abhängig von einem abgesetzten File-Server. Er liefert die notwendige Netzwerksoftware und evtl. die benötigten Programme. Soll nun aber ein bestimmter Bereich des Netzes unabhängig vom File-Server betrieben werden, so ist es unerläßlich, einen Server nur für diesen Bereich zu beschaffen.

Allerdings ist die BNC-Verkabelung - wie das Yellow Cable - ein aussterbender Standard, da man mit dieser Technik bereits an die Grenzen des technisch Möglichen angelangt ist. Die Übertragungsgeschwindigkeit von 10 Mbit/s kann hier nicht überschritten werden kann. Für "Wohngemeinschaftsnetze" wird es wegen seiner Preisgünstigkeit aber immer noch verwendet.

Twisted-Pair, 10BaseT

Twisted-Pair ist ein vieradriges, paarweise verdrilltes Kupferkabel, bei dem zwischen Sender und Empfänger für jede Übertragungsrichtung zwei Kupferadern genutzt werden. Die typische Dicke der Adern beträgt 0,5 oder 0,6 mm. Die maximale Übertragungslänge variiert mit der Dämpfung und ist abhängig davon, ob die Drähte abgeschirmt sind oder nicht. Das Twisted-Pair-Kabel eignet sich für verschiedene Uebertragungsmethoden wie Token Ring und Ethernet. Bei einer Datenrate von 10 - 100 MBit/s kann ein Twisted-Pair-Kabel bis zu 100 m lang sein. Die Mindestlänge des Kabels beträgt 0,6 m. Das Kabel verbindet genau zwei Stationen miteinander.

Zum Anschluß mehrerer Stationen müssen sogenannte Hubs (engl. "Hub" = Nabe eines Speichenrades) eingesetzt werden, es lassen sich dann bis zu 1024 Stationen miteinander koppeln. Als Verbinder kommen normalerweise RJ-45-Stecker (Western-Stecker) und -Dosen zum Einsatz. Auch hier werden wieder Differenztreiber und -empfangsverstärker eingesetzt. Der Pegel wechselt zwischen -2,5 V und +2,5 V.
Mit der Twisted-Pair-Verkabelung hielt auch eine kaum überschaubare Anzahl unterschiedlicher Kabelvarianten Einzug in die Datentechnik. UTP, FTP, S/UTP, S/STP oder ITP beschreiben den Kabelaufbau, CAT 3, 5 oder 7 beschreiben die Kategorie hinsichtlich der Anforderung der Kabel und Steckverbinder. Die Kabelklasse (A - 100 kHz, B - 1 MHz, C - 16 MHz, D - 100 MHz, E - 300 MHz, F - 600 MHz) definiert die Anforderungen hinsichtlich der Übertragungsbandbreite.

Kategorie 1 2 3 4 5
Übertragungs-
geschwindigkeit
(Mbit/s)
  4 10 16 100
Frequenz
(MHz)
Dämpfung
(dB/100m)
NEXT
(dB)
Dämpfung
(dB/100m)
NEXT
(dB)
Dämpfung
(dB/100m)
NEXT
(dB)
Dämpfung
(dB/100m)
NEXT
(dB)
Dämpfung
(dB/100m)
NEXT
(dB)
1     2,6   2,6 41 2,1 56 2,1 62
4         5,6 32 4,3 47 4,3 53
8         8,5 28 6,2 42 5,9 48
10         9,9 26 7,2 41 6,6 47
16         13,1 23 8,9 38 8,2 44
20             10,2 36 9,2 42
25                 10,5 41
31,25                 11,8 40
62,5                 17,1 35
100                 22 32

Bemerkung :
Bei Kategorie 1 liegt die Impedanz im Bereich von 84 bis 113 Ohm
Bei Kategorie 2 - 5 beträgt die Impedanz 100 Ohm ± 15%

Die Bauart der Kabel hat einen ganz wesentlichen Einfluß auf die Störleistungsunterdrückung und damit die Störsicherheit der Kabel. Während UTP-Kabel eine typische Störteistungsunterdrückung von 40 dB haben, erreichen S/STP-Kabel Werte bis zu 90 dB.

Die Preisunterschiede zwischen Cat-3-Kabeln und Cat-5-Kabeln ist so gering, daß es sich bei Neuinstallation auf jeden Fall empfiehlt, Cat-5-Kabel einzusetzen - schon, um mit 100 MBit/s arbeiten zu können.

Elektrische Eigenschaften für installierte 100-Ohm-Kabel
gemäß DIN EN 50173 bzw. ISO/IEC 11801, Kategorie 5
Größter Schleifenwiderstand300 Ohm/km
Größter Widerstandsunterschied3 %
Isolationswiderstand150 MOhm x km
Impedanz Zo bei 0,064 MHz125 Ohm +/- 25%
Impedanz Zo bei 1 - 100 MHz100 Ohm +/- 15%
Kopplungswiderstandbei 10 MHz < 100 Ohm/km
Rückflußdämpfung an 100 m Länge: 1..20 MHz>23 dB
Rückflußdämpfung an 100 m Länge: >20 MHz23 dB - 10 log (f/20)
Erdunsymmetriedämpfung dB/BZL = 1000 mbei 64 kHz > 43 dB
Größte Erdkopplung bei 0,001 MHz1600 pF/km
Kleinste Ausbreitungsgeschwindigkeit bei 1 MHz0,60 c
Kleinste Ausbreitungsgeschwindigkeit bei 10 MHz0,65 c
Kleinste Ausbreitungsgeschwindigkeit bei 100 MHz0,65 c

Die konventionelle Twisted-Pair-Ethernet-Verkabelung verwendet RJ-45-Steckverbinder. Auch hier gibt es die unterschiedlichsten geschirmten und ungeschirmten Ausführungen. Sie sind für den industriellen Einsatz nur teilweise geeignet. Von den acht Leitungen des RJ45-Steckers werden nur vier verwendet:

PinSignal
1Sendesignal +
2Sendesignal -
3Empfangssignal +
6Empfangssignal -

Zwischen Rechner und Hub verbindet das Kabel die beiden Stecker 1:1. Bei speziellen Kabeln für die direkte Verbindung zweier Computer oder für das Kaskadieren von Hubs müssen die Leitungen gekreuzt werden. Die Verbindung ist dann:

Pin
(Signal)
  Pin
(Signal)
1 (TX+) - 3 (RX+)
2 (TX-) - 6 (RX-)
3 (RX+) - 1 (TX+)
6 (RX-) - 2 (TX-)

Die RJ-45-Buchsen sind inzwischen auch keine profanen Steckkontakte mehr, sondern in ihnen sind auch gleich Übertrager, Drosseln und Widerstände integriert. Damit wird nicht nur Leiterplattenplatz eingespart, sondern auch bessere EMV-Eigenschaften erzielt und Layoutfehler vermieden. Das folgende Bild zeigt die elektrische Beschaltung einer solchen Buchse:

Die Übertrager sorgen gleichzeitig für eine Potentialtrennung zwischen der Buchse und der restlichen Schaltung und für die Ausblendung von Störungen. Im folgenden Bild ist eine typische Buchse für die Platinenmontage abgebildet und darunter sind die Abmessungen (Vorder- und Seitenansicht) gezeigt. Oft sind in die Buchsen noch ein oder zwei LEDs integriert.

Twisted-Pair-Verkabelung

Wie gesagt, verlegt man pro Rechner ein eigenes Kabel. Während BNC-Netze eine Bus-Struktur haben, zeichnen sich Twisted-Pair-Netze durch eine Baumstruktur aus. Die einzelne Kabellänge zu einem Rechner darf 100 m nicht überschreiten. Die Anzahl der im Netz verfügbaren Rechner ist abhängig von den eingesetzten Repeatern, die hier "Hub" heißen (4-Port, 8-Port; usw.).

Mehr dazu steht im Kapitel über Twisted-Pair-Verkabelung.

Lichtwellenleiter

Seit einiger Zeit werden Netzwerkleitungen teilweise als Lichtwellenleiter verlegt. Der zusätzliche Aufwand zum Konvertieren von Strom in Licht und zurück lohnt sich. Der Hauptvorteil liegt in der sehr hohen Übertragungskapazität der durchsichtigen Faser, die bis in den Bereich von GBit/s reicht. Die Datenübertragung via Lichtsignal läßt sich außerdem durch elektrische und elektromagnetische Störungen kaum beeinträchtigen. Dadurch ist das Glasfaserkabel besonders für die Datenübertragung in elektrisch verseuchten Räumen wie zum Beispiel einer Maschinenhalle geeignet. Auch spielt die schon beschriebene Problematik des sich unweigerlich immer weiter verschlechternden Rauschabstandes keine Rolle mehr. Lichtwellenleiter bieten gegenüber dem Kupferkabel entscheidende Vorteile: Allerdings sind Lichtwellenleiter teurer als Kupferleitungen. Dies betrifft nicht nur die Materialkosten sondern auch den Aufwand für die Verlegung. Und ganz so einfach ist die Datenübertrag via Lichtwellenleiter (LWL) auch nicht. Die Eigenschaften des Leiters hängen vom geometrischen Aufbau und den physikalischen Eigenschaften des verwendeten Materials ab. Physikalische Grundlage des LWL ist das Prinzip von Brechung und Reflexion. Allgemein bekannt ist das Brechungsgesetz: Licht wird, wie das Bild zeigt, beim Übergang von einem optisch dichteren in ein optisch dünneres Medium vom Einfallslot weg gebrochen.

Die Ursache dafür liegt in der sich ändernden Ausbreitungsgeschwindigkeit. Diese hat in jedem Medium einen anderen Wert. In einem optisch dichteren Medium bewegt sich Licht langsamer fort als in einem optisch dünneren. Das Verhältnis der Lichtgeschwindigkeit c in Vakuum zur Lichtgeschwindigkeit v in einem anderen Medium ergibt die Brechzahl:

n = c/v

Typische Werte für die Brechzahl sind:
für Glas etwa 1,5,
für Wasser 1,33 und
für das Vakuum 1.

Bei jedem Medienübergang wird ein Teil des Lichts reflektiert je stumpfer der Einfallswinkel, desto stärker die Reflexion. Der Reflexionsgrad hängt vom Unterschied der beiden optischen Dichten und vom Einfallswinkel ab. Erreicht der Einfallswinkel einen kritischen Wert, gelangt überhaupt kein Licht aus dem Medium mit der höheren Brechzahl heraus. Auf dieser Totalreflexion beruht das Prinzip des Lichtwellenleiters. Die Aufgabe des Leiters besteht ja darin, das Licht verlustlos und ohne Impulsverformung über lange Strecken zu transportieren. Da sich Licht aber nach allen Seiten ausbreitet, muß man einen Käfig bauen, der das Licht im Leiter hält. Denn bei jeder Biegung des Kabels würde sonst nur ein Bruchteil des ursprünglichen Lichts im Kabel verbleiben und eine längere Übertragungsstrecke wäre völlig unmöglich. Deshalb konstruiert man den Lichtwellenleiter als optische Röhre. Im Innern der Röhre kann sich das Licht ungehindert fortpflanzen und an den Wänden wird es total reflektiert. So wird der Lichtstrahl gezwungen, sich innerhalb der Faser fortzubewegen.

Der LWL mit dem einfachsten Aufbau besteht aus einem konzentrischen optischen Kern mit einer hohen Brechzahl n1, der mit einem optischen Mantel kleinerer Brechzahl n2 versehen ist. Licht, das in einem gewissen Winkelbereich in den LWL eintritt, wird durch fortlaufende Totalreflexion an der Grenze Kern/Mantel weiterbefördert.

Neben dem reinen Transport ist die Verformung, die die Lichtimpulse während der Leitung erleiden, von Bedeutung. Sehen Sie sich dazu das Einspeisen des Lichts in den LWL etwas genauer an: Trifft das Licht in einem Winkel nahe dem maximalen Einfallswinkel für den Lichtleiter auf, wird es sehr oft im LWL reflektiert. Es heißt dann Licht hohen Modes. Entsprechend heißt Licht, welches in relativ guter Übereinstimmung mit der optischen Achse des LWL eintrifft, Licht niedrigen Modes. Licht hohen Modes legt insgesamt einen längeren Weg im Kabel zurück und benötigt dadurch mehr Zeit für den Durchlauf. Fällt nun Licht mit nicht genau definiertem Winkel in den LWL ein, kommt es bis zum Ausgang wegen der unterschiedlichen Laufzeiten für jeden Einfallswinkel zu einer Dehnung des Lichtimpulses. Dieser unschöne Effekt, die Dispersion, verbreitert die Signalimpulse und beschränkt damit die erreichbare Übertragungsrate.

Unter Dispersion versteht man die Verbreitung eines Lichtimpulses durch Laufzeitunterschiede (Gruppenlaufzeit) der Moden (Eigenwellen), was eine Begrenzung der Übertragungsbandbreite von LWLs zur Folge hat. Man unterscheidet die Modendispersion und die chromatische Dispersion, die sich aus Materialdispersion und Wellenleiterdispersion zusammensetzt. Die Modendispersion ist ein Effekt der unterschiedlichen Signallaufzeiten der Moden, was zu einer Signalverzerrung führt. Die Materialdispersion, auch Manteldispersion bezeichnet, ist die Wellenlängenabhängigkeit der Brechzahl eines Materials. Die Wellenleiterdispersion (Waveguide Dispersion) ist gerade bei Singlemode-LWL von Bedeutung und bezieht sich auf die Wellenlängenabhängigkeit der Lichtverteilung zwischen Kern und Mantel. Die nutzbare Übertragungsbandbreite ist umgekehrt proportional zur Dispersion. Die Dispersion wird in einer Zeit- zu Längeneinheit (ns/km) angegeben und ist der reziproke Wert des Bandbreitenlängenproduktes. Beispiel: Dispersion 5ns/km <-> Bandbreite 200 MHz * km.

Abhilfe schafft ein nach außen hin stetig abnehmender Brechungsindex. Dadurch gleichen sich die Geschwindigkeiten und Laufzeiten für die verschiedenen Einfallswinkel bei genügender Kabellänge wieder aus. Wegen des stetigen Übergangs von Kern zu Mantel werden diese Leiter Gradientenprofilfasern genannt. Es ergibt sich beim Einfall der unterschiedlichen Lichtwellen trotz unterschiedlich langer Wege in der Faser eine nahezu gleiche Laufzeit aller Wellen.
Eine noch geringere Dispersion liefern die Monomode-Fasern. Im Gegensatz zu den Multimode-Fasern leiten sie nur Licht einer bestimmten Wellenlänge. Ihr Kerndurchmesser ist so klein, daß sich das Licht fast nur noch entlang der Längsachse ausbreiten kann. Mit diesen Monomode-Fasern sind also die steilsten Flanken und damit die größten Übertragungsraten zu erzielen.

Wellenlängen

Mit zunehmender Wellenlänge nimmt der Streuverlust eines LWL ab. Verunreinigung, z.B. Sauerstoffionen oder OH-Ionen, die bei der Herstellung in die Faser gelangen, absorbieren das Licht bei verschiedenen Wellenlängen. Bedingt durch die Absorptionsspitzen gibt es Dämpfungsspitzen bei ca. 950, 1.200 und 1.400 nm und günstige Wellenlängenbereiche, die auch "Fenster" oder "Arbeitswellenlängenbereiche" genannt werden. Heute werden bei LWL-Systemen drei Fenster bei 850 nm, 1300 nm und 1550 nm genutzt.

Typische LWL haben folgende Daten.

Multimode-Stufenindex-Faser

Multimodefasern mit Stufenprofil haben einen Durchmesser von 200 µm. Durch sie werden mehrere Lichtwellen gleichzeitig geschickt. An den Wänden der Faser wird das Signal hart reflektiert. Das Ausgangssignal wird dadurch verbreitert (je nach Einfallswinkel dauert das Signal unterschiedlich lang, weil der Weg mal länger und mal kürzer ist) und bedämpft. Sie werden z.B. als Verbindungskabel beim Patchfeld verwendet.

Multimode-Gradienten-Faser

Multimodefasern mit Gradientenprofil haben einen Durchmesser von 50 µm. Durch sie werden mehrere Lichtwellen gleichzeitig geschickt. An den Wänden der Faser wird das Signal weich reflektiert. Das Ausgangssignal wird zwar auch verbreitert, aber nicht so stark bedämpft. Sie werden für Verbindungen von Gebäuden oder Etagen eingesetzt.

Monomode-Stufenindex-Faser

Monomode-Fasern (Singlemode-Fasern) haben einen Durchmesser von 10 µm. Durch sie werden die Lichtwellen gerade hindurchgeleitet. Das Signal wird wenig bedämpft und auch nicht verbreitert. So ist eine hohe Bandbreite möglich. Sie werden für weite Strecken eingesetzt.

Als Sender für die LWL-Übertragung stehen Leuchtdioden (LEDs) und Laserdioden (LD) zur Verfügung. dabei werden LEDs am besten im Bereich von 850/860 nm eingesetzt und LDs im Bereich von 1300 nm.

 LEDLD
Licht-Typinkohärentkohärent
Wellenlänge850/860 nm und 1300 nm1300 nm
Spektralbreite30 - 40 nm1 - 3 nm
Abstrahlwinkelmittel bis hochgering
einkoppelbare
Leistung
geringhoch
Lebensdauer106 Stunden105 Stunden

Die unten stehende Abbildung zeigt die Zusammenhänge von Faserart und Sendertyp im Hinblick auf das Einsatzgebiet bezüglich Übertragungsstrecke und Übertragungsrate.

Die optischen Sender und Empfänger (meist Laserdioden) müssen genau auf die Faser abgestimmt sein, um verlustarm und reflexionsfrei übertragen zu können. Ein großes technisches Problem beim Verlegen von LWL ist immer noch der Übergang von einem Leiterstück auf ein anderes, das sogenannte 'Spleißen'. Im Gegensatz zum elektrischen Leiter, bei dem eine Klemm- oder Lötverbindung ohne große Sorgfalt genügt, müssen die Glasfasern genau in der optischen Achse plan miteinander verschweißt werden. Unter Laborbedingungen stellt das natürlich längst kein Problem mehr dar, aber im mobilen Einsatz sieht das schon etwas anders aus.

Beim sogenannten 'Spleißen' von Glasfaserkabeln gibt es zahlreiche Fehlermöglichkeiten. Das beginnt nach dem Entfernen des Sekundärschutzes mit mangelhaftem Reinigen der Faser. Weitere Fehlermöglichkeiten sind zu sparsame Verwendung des Leims zum Verkleben der Faser im Kontaktkörper oder zu wenig Sorgfalt beim anschließenden Schleifen der Kontaktfläche. Das beste 'Meßinstrument' ist hier eine Lupe mit mindestens 10-facher Vergrößerung. Man leitet sichtbares Licht in die Faser und prüft die Fläche auf Verunreinigungen oder Kratzer. Zum Reinigen der Kontaktfläche verwendet man nicht-denaturierten reinen Alkohol.

Dämpfung

Bei Lichtwellenleitern ist die Dämpfung der Energieverlust des Lichtstrahls, der beim Durchlaufen der Faser in Form von Streuung und Absorption auftritt. Sie wird in dB angegeben und meistens auf eine Länge von einem Kilometer (dB/km) bezogen. Die Dämpfung ist abhängig von der verwendeten Wellenlänge. Günstige Wellenlängen für Quarzglas liegen bei 850 nm, 1.300 nm und 1.550 nm. Die Dämpfung sollte so niedrig wie möglich sein, um die Signalverluste bei der Übertragung so gering wie möglich zu halten. Typische Dämpfungswerte liegen bei ca. 3 dB/km für 850 nm Wellenlänge. Zum Vergleich haben Koaxialkabel eine Dämpfung von ca. 17 dB/km.

10Base-F Ethernet

Schon früh wurden Glasfasern als Link-Segmente für die Verbindung zweier Repeater-Komponenten standardisiert (Fiber Optic Inter Repeater Link - FOIRL). Unter Beachtung der Repeaterregel und des Laufzeitverhaltens lassen sich so entfernte Segmente untereinander verbinden. Dieser Standard wurde mittlerweile so erweitert (10Base-F), daß sich auch Stationen über Glasfasern an Glasfaserrepeater anschließen lassen. Die Konfiguration entspricht etwa der von 10Base-T. Für die Verbindung werden sogenannte ST-Stecker vorgeschrieben.

Link-Segmente mit FOIRL-Geräten können bis zu 1000 m lang sein und Segmente mit 10Base-F Geräten bis zu 2000 m.

Maximale Länge von Glasfaserkabeln ohne Verstärkung:

TypStufenindexGradientenindexMonomode
Dämpfung20dB/km bei 900nm3dB/km bei 850nm0,1dB/km bei 1300nm
Bitratenlängen-
produkt
5 MHz * km1,5 GHz * km250 GHz * km
max. Länge
(ohne Repeater)
1 km10 km60 km/100 km

Die häufigsten Fehlerursachen bei Glasfaserleitungen

Verschmutzte Endflächen der Steckverbinder sind das größte Problem beim Betrieb von Glasfaserverbindungen. Weitere Fehler sind die mangelhafte Polierung der Steckerstirnfläche, fehlerhafte Stecker und Spleiße sowie zu stark gebogene Kabel. Verschmutzte Endflächen lassen sich mit einem Mikroskop mit 100- bis 200-facher Vergrößerung erkennnen. Ein äußerst effizientes Verfahren für die Überprüfung von Glasfaserendflächen besteht in der Verwendung eines Videomikroskops. Der Bediener kann problemlos in Patch-Panels und Anschlüsse elektronischer Geräte vordringen, deren Überprüfung unter Verwendung eines herkömmlichen Mikroskops mit einem erheblich größeren Zeitaufwand verbunden wäre. Eine weitere Schwierigkeit besteht darin, dass bei der Installation eines verschmutzten Glasfaseranschlusses auch mit einer Verschmutzung des Gegenstücks zu rechnen ist. Schon die versehentliche Berührung einer Endfläche kann zu deutlichen Verunreinigungen führen. Das folgende Bild zeigt einige Formen der Veunreinigung von Glasfasern.

Gigabit-Ethernet

Während die Normierung der neuen Verkabelungsklassen bzw. Kategorien E/6 (250 MHz) und für die Bewertung von Verkabelungsanlagen F/7 (600 MHz) im Jahr 2001 zum Endspurt ansetzte, ist mit Gigabit-Ethernet eine Anwendung nachgerückt, die deutlich mehr Bandbreite als bisherige Übertragungsprotokolle beansprucht. Hierdurch sind Klasse C/Kategorie-3- und -4-Verkabelungen endgültig überholt. Aber auch Klasse D/Kategorie-5-Verkabelungen sind "Auslaufmodelle", insbesondere dann, wenn zukunftssichere Konzepte für Neuinstallationen gefragt sind.

Gigabit Ethernet (IEEE 802.3z, 802.3ab)

Gigabit Ethernet kann sowohl über Kupferkabel als auch über Glasfaser laufen: 1000Base-T    Cat 5 UTP
1000Base-CX   STP/Twinax
1000Base-SX   Multimode Fiber (850nm)
1000Base-LX   Monomode Fiber oder Multimode (1300nm)

STP- und Fiber-Standards sind verabschiedet, zur Festlegung des UTP-Standards wurde ein eigenes IEEE-802.3ab-Subkommitee gebildet. Dieses hat das Ziel, einen Standard für eine Reichweite von 100m auf UTP Cat. 5 Kabeln zu erzielen.

Gigabit Ethernet: 1000Base-T über Kupfer

Auf Grund der schwachen+-+ Auslegung von Klasse D/Kategorie-5-Verkabelungen sind bei 2-paariger Übertragung und Schwerpunktfrequenzen bis etwa 60 MHz Übertragungsraten bis 155 MBit/s (ATM) möglich. Der Bandbreitenengpaß bei Kategorie-5-Verkabelungen (bis 100 MHz) erfordert deshalb die Verwendung von 4 Paaren, um die Übertragung von Gigabit Ethernet zu ermöglichen. 1000Base-T verwendet eine Symbolrate von 125 Mbaud und eine 5-Level-Codierung (PAM 5). Da bei 1000Base-T auf allen 4 Paaren gleichzeitig in beiden Richtungen gesendet und empfangen wird, übernimmt jedes Paar 250 MBit/s und in Summe (alle Paare) 1 GBit/s. Bei der Voll-Duplex-Übertragung über 4 Paare wechseln die Sende- und Empfangszustände der GigaBit-Ethernet-Bausteine ständig einander ab. Die gleichzeitige Übertragung in zwei Richtungen und die wechselnden Sende- und Empfangszustände haben neue Übertragungsparameter für die Bewertung von Verkabelungen generiert:
  1. Leistungssumme des Nahnebensprechens(PSNEXT)
    Power Sum NEXT (PSNEXT) beschreibt die Summe aller Störleistungen, die durch Nahnebensprechen in ein Paar eingekoppelt werden. Das kommt dem tatsächlichen Einsatzfall, d.h. wenn alle Paare in Betrieb sind, nahe. Maßgeblich ist immer der stärkste Störer. Nur bei hohen Paarzahlen gibt es deutliche Unterschiede zwischen NEXT und Power Sum NEXT.
  2. Fernnebensprechen (FEXT)
    Mit FEXT (Far End Cross Talk) wird das Nebensprechen am fernen (empfängerseitigen) Ende bezeichnet, das im Allgemeinen geringere Störungen verursacht als das Nahnebensprechen.Man unterscheidet beim FEXT zwischen: Beide Größen sind durch die Gleichung EL-FEXT = I/O - FEXT - Dämpfung verbunden, wobei das ELTEXT in etwa dem ACR beim NEXT entspricht.
  3. Leistungssumme des Fernnebensprechens (PSFEXT)
    Power Sum FEXT (PSFEXT) beschreibt die Summe aller Störleistungen, die durch Fernnebensprechen in ein Paar eingekoppelt werden. Das kommt dem tatsächlichen Einsatzfall, alle Paare in Betrieb, nahe.
  4. Delay und Skew
    Propagation Delay (Verzögerung der Ausbreitung) bezeichnet die Verzögerungszeit/Laufzeit der Signalübertragung über ein Paar. Sind die Signalverzögerungen frequenzabhängig, führt das zu Signalverzerrungen, auch "Dispersion" genannt. Der Wert "Delay Skew" gibt die Differenz der Verzögerungszeiten/Laufzeiten zwischen zwei Paaren an.
  5. Rückflußdämpfung (RL)
    Die Rückflußdämpfung, auch "Return Loss" genannt, beschreibt die Inhomogenitäten/Fehlanpassungen entlang des Übertragungskanals anhand des Verhältnißes von rücklaufender zu hinlaufender elektromagnetischer Welle.
  6. Störleistungsunterdrückung
    Die Störleistungsunterdrückung ist ein Maß für die Fähigkeit eines Kabels, elektrische externe Störungen zu bedämpfen. Je höher die Störleistungsunterdrückung ist, umso besser ist die elektromagnetische Verträglichkeit.

Gigabit Ethernet: konkurrierende Eigenschaften

Die untereinander konkurrierenden Parameter für die Übertragung von Gigabit Ethernet haben Einfluß auf die konstruktive Gestaltung der Kabel. Die Problematik läßt sich anhand der unterschiedlichen Übertragungsparameter in Abhängigkeit der bekannten Kabelbauarten mit verseilten Paaren aufzeigen. Je nach Anforderung werden dem Datenkabel möglichst kleine und unterschiedliche (für NEXT und FEXT) oder möglichst lange und gleiche Paarschlaglängen) (für Dämpfung, Return Loss, propagation delay und delay skew) abverlangt. Ein Kompromiß bei UTP und S/UTP-Kabeln ist äußerst diffizil und führt zu Einbußen bei dem einen oder anderen Parameter. Eine Ausnahme stellen die S/STP-Kabel dar. Hier werden die NEXT-, FEXT- und ACR-Anforderungen wesentlich durch Einzelschirmung der Paare (PiMF) sichergestellt. Dies erlaubt erhebliche Freiheitsgrade bei der Gestaltung der Paarschlaglängen. S/STP-Kabel stehen deshalb für sicheres Einhalten aller Eigenschaften bis 600 MHz und darüber hinaus (1200 MHz). Zudem verfügen sie auf Grund der doppelten Abschirmung über hervorragende EMV-Eigenschaften.

Anmerkung: Die "Schlaglänge" ist die Länge (z. B. in Millimetern), bei der sich eine Ader vom Anfangspunkt A bis zum Endpunkt B einmal um 360 Grad gedreht hat.

Zusammenfassung: 1000Base-T auf UTP Kabeln

Gegenüberstellung Ethernet - fast Ethergent - Gigabit-Ethernet

 EthernetFast EthernetGigabit Ethernet
Standard IEEE 802.3IEEE 802.3uIEEE 802.3z
Datenrate 10 Mbit/s 100 Mbit/s 1000 Mbit/s
Zeitdauer eines Bits 100 ns 10 ns 1 ns
Kollisionsfenster 51,2 µs 5,12 µs 0,512 µs
Größtes Datenpaket 1518 Byte
Kleinstes Datenpaket 64 Byte 512 Byte
(kleinere Datenpakete
mit Carrier Extension)

Zugriffsverfahren: CSMA/CD

Bei Erhöhung der Übertragungsrate auf 1 Gbit/s möchte man auf die vorhandenen Verkabelungsstrukturen aufsetzen, d. h. die Leitungslängen sollen gleich sein wie bei 100Base-T (Da die Dauer des Kollisionsfensters nur noch 0,512 µs beträgt, dürften rein rechnerisch die Kabel nur noch maximal 10 m lang sein - nicht praktikapel). Daher muß bei gleicher Leitungslänge die minimale Paketgröße vergrößert werden. Es gilt daher beim Gigabit-Ethernet eine minimale Paketlänge von 512 Byte. Mit Hilfe eines "Kunstgriffs" wird diese Festsetzung ohne Änderung im Datenframe-Format gewährleistet: der Carrier Extension. Bei Gigabit Ethernet-Frames mit weniger als 493 Datenbytes (46 bis 492) werden die fehlenden Datenbytes durch das Aufrechthalten des Trägers nach dem Ende des eigentlichen Datenpakets überbrückt. Der Ethernet-Frame wird dabei nicht verändert, so dass es für die Kommunikationssoftware keinen Unterschied gibt.

Muss Carrier Extension eingesetzt werden, steigt auch der Overhead des Ethernet-Protokolls. Um dieses Anwachsen möglichst zu kompensieren, führt Gigabit Ethernet das Frame Bursting ein, das ebenfalls auf dem Physical Layer integriert wird. Dabei wird im Physical Layer versucht, mehrere kurze Datenblöcke in einen Ethernet-Frame zu packen, um so die erforderliche Mindestlänge von 512 Byte ohne den Einsatz von Carrier Extension zu erreichen.

Im Gegensatz zu Ethernet und Fast Ethernet werden bei Gigabit Ethernet alle vier Paare eines Twisted Pair-Kabels verwendet. Damit können im Vollduplex-Betrieb die Daten Ober jeweils zwei Paare gleichzeitig gesendet und empfangen werden.

Für die Optik-Version bestehen folgende Randbedingungen:

BezeichnungMedium mmMax. Länge (m)
1000Base-SXMultimode Fiber (850nm)62,5260
1000Base-SXMultimode Fiber (850nm)50550
1000Base-LXMultimode Fiber (850nm)62,5440
1000Base-LXMultimode Fiber (850nm)50550
1000Base-LXMonomode Fiber8,33000

Fibre Channel

Ursprünglich entwickelt von HP, IBM und Sun als Möglichkeit einer Hochgeschwindigkeitsanbindung von Rechnern zu Peripheriegeräten. Fibre Channel (ANSI-T11) ist allerdings auch als LAN-Technologie denkbar. Fibre Channel definiert die Schichten 1 und 2 des OSI-Modells. Übertragungsraten von 1 Gbit/s sind heute verfügbar (2 Gbit/s als Dual Channel), 4 Gbit/s ist in Entwicklung und 8 Gbit/s geplant. Vorteilhaft sind die Ausfallsicherheit bei Verwendung eines Dual Channel, der geringe Protokoll-Overhead und gesicherte Übertragung (keine Zellverluste wie bei ATM). Es ist eine Kabellänge bis 10 km möglich. Der Adreßraum umfaßt 16'000'000 Adressen im lokalen Fibre-Channel-Netz und ist so mit klassischen LAN-Technologien vergleichbar. Fibre Channel bildet die Grundlage für andere Technologien, z. B. ATM over Fibre Channel oder Gigabit Ethernet auf Fibre Channel.

Die folgende Tabelle fasst nochmals knapp alle Medien zusammen:

Bezeichnung Datenrate [MBit/s] Übertragungsmedium IEEE-Norm
10Base5 10 RG 8 Koaxialkabel 50 Ohm, 500 m Segmentlänge 802.3
10Base2 10 RG 58 Koaxialkabel 50 Ohm, 200 m Segmentlänge 802.3a
10Broad36 10 Koaxialkabel 75 Ohm, max.Ausdehnung 3600 Meter 802.3b
10BaseT 10 Twisted Pair Kabel, Kat.3, 100 m Segmentlänge 802.3i
10BaseFL 10 MMF-Lichtwellenleiter, 850 nm, 2000 m Segmentlänge  
10BaseFB 10 MMF-Lichtwellenleiter, 850 nm, 2000 m Segmentlänge  
100Base-TX 100 Twisted Pair Kabel, Kat.5, 100 m Segmentlänge  
100Base-T2 100 Twisted Pair Kabel, Kat.3, 100 m Segmentlänge, 2x2 Adern  
100Base-T4 100 Twisted Pair Kabel, Kat.3, 100 m Segmentlänge, 4x2 Adern  
100Base-FX 100 MMF-Lichtwellenleiter, 1300 nm, 2000 m Segmentlänge  
1000Base-T 1000 Twisted Pair Kabel, Kat.5, 100 m Segmentlänge 802.3ab
1000Base-SX 1000 MMF-Lichtwellenleiter, 830 nm, 550 m Segmentlänge 802.3z
1000Base-LX 1000 MMF-Lichtwellenleiter, 1270 nm, 5000 m Segmentlänge 802.3z
1000Base-CX 1000 Twinax-Kupferkabel, 150 Ohm, 25 m Segmentlänge 802.3z
10GBase-SR 10 seriell, Lichtwellenleiter, 850 nm, 2-300 m, ohne WAN-Anpassung  
10GBase-SW 10 seriell, Lichtwellenleiter, 850 nm, 2-300 m, mit WAN-Anpassung  
10GBase-LR 10 seriell, Lichtwellenleiter, 1310 nm, 2-10.000 m, ohne WAN-Anpassung  
10GBase-LW 10 seriell, Lichtwellenleiter, 1310 nm, 2-10.000 m, mit WAN-Anpassung  
10GBase-ER 10 seriell, Lichtwellenleiter, 1550 nm, 2-40.000 m, ohne WAN-Anpassung  
10GBase-EW 10 seriell, Lichtwellenleiter, 1550 nm, 2-40.000 m, mit WAN-Anpassung  
10GBase-LX4 10 Lichtwellenleiter, 1310 nm, 2-10.000 m, WWDM-Technik m. 4 Kanälen  

10 Gigabit Ethernet

10 Gigabit Ethernet ist die (zur Zeit) schnellste Übertragungsvariante für Ethernet. In der IEEE 802.3ae werden die Produktspezifikationen für die entsprechenden Geräte standardisiert.

Anzeige-LEDs

In den Slotblechen von Netzwerkkarten finden Sie in den meisten Fällen einige Leuchtdioden, welche die gleiche Aufgabe wie bei den Hubs haben. Typische Bezeichnungen und die damit verbundenen Funktionen sind in der Tabelle angegeben, wobei - je nach Typ - auch nur eine Teilmenge davon vorhanden sein kann.

BezeichnungBedeutung
10 LNK Diese LED signalisiert, dass die Karte im 10 MBit/s-Mode (Standard-Ethernet) arbeitet.
100 LNK Diese LED signalisiert, dass die Karte im 100 MBit/s-Mode (Fast-Ethernet) arbeitet.
ACT Action Es werden Daten gesendet oder empfangen, wenn diese LED aktiv ist.
COL Collision Die LED blinkt bei auftretenden Datenkollisionen (CSMA/CD).
FDX Full Duplex Diese LED signalisiert, dass eine Voll-Duplex-Verbindung besteht, also gleichzeitiges Senden und Empfangen möglich ist.
Link (Beat) Link Die LED leuchtet, wenn eine Netzwerkverbindung besteht (Kabel angeschlossen, Datenverbindung möglich, usw.).
LNK Link Die LED leuchtet, wenn eine Netzwerkverbindung besteht (Kabel angeschlossen, Datenverbindung möglich, usw.).
NML Normal Der Hub arbeitet in der normalen Betriebsart und kann zum Test per Schalter in einen Testmodus geschaltet werden, woraufhin diese Diode dann nicht leuchtet.
POL Polarity Diese LED ist eher selten zu finden und ist normalerweise aus. Sie leuchtet nur dann, wenn die Polarität der Datenempfangsleitungen vertauscht ist. In der Regel können Netzwerkkarten mit einer derartigen Anzeige automatisch die richtige Polarität herstellen, und dann leuchtet auch die LED.
PWR Power Die Spannungsversorgung des Hubs ist vorhanden, wenn diese LED leuchtet.
REC Receive Die LED blinkt, wenn gerade Daten von der Einheit empfangen werden.
RX (DATA) Receive Data Die LED blinkt, wenn gerade Daten von der Einheit empfangen werden.
T/R Transceive/Receive Die LED blinkt, wenn gerade Daten von der Einheit gesendet oder empfangen werden.
TX (DATA) Transmit Data Die LED blinkt, wenn gerade Daten von der Einheit gesendet werden.

Die Receive- und Transmit-Leuchtdioden sind nützlich, um den augenblicklichen Status einer Netzwerkkarte ablesen zu können. Falls keine LED leuchten will, ist der Treiber für die Karte wahrscheinlich (noch) nicht korrekt installiert worden oder die Karte wurde nicht korrekt mit dem Netz verbunden. Die Anzeige LNK (Link) oder ACT (Activity) sollte auf jeden Fall dann leuchten, wenn das Netzwerk aktiv ist. Außerdern sollte an einer Netzwerkkarte auch die Receive-Anzeige leuchten oder blinken, wenn Pakete im Netz übertragen werden.

Wie funktioniert Wake-on-LAN

Bei Wake-On-LAN, kurz WOL, handelt es sich um einen 1995 von AMD in Zusammenarbeit mit HP veröffentlichten Standard, der das Einschalten von Rechnern über das Netz regelt. Um WOL zu nutzen, müssen das Mainboard und die Netzwerkkarte des jeweiligen PCs ACPI unterstützen. Um einen PC aufzuwecken, sendet man ein sogenanntes Magic Packet an diesen. Dieses Paket veranlasst dann den Rechner, zu starten. Natürlich muss im BIOS des jeweiligen Rechners WOL aktiviert werden. Unter Umständen muss bei einigen Netzwerkkarten auch erst das passende WOL-Kabel zwischen Netzwerkkarte und Mainboard gesteckt werden (damit die Karte auch bei ausgeschaltetem Rechner mit Strom versorgt wird).

Unter Windows XP wird in der ACPI-Spezifikation festgelegt, dass WOL einen Rechner aus den Zuständen S3 (Suspend-to-RAM), S4 (Suspend-to-Disk) und S5 (Soft-Off) aufwecken kann. Die Optionen werden an unterschiedlichen Stellen in den Eigenschaften der Netzwerkkarte (erreichbar über den Geräte-Manager) konfiguriert.

Bei Linux deaktivieren viele Netzwerkkarten-Treiber die WOL-Funktion nach dem Starten des Interfaces. Um diese nun wieder zu aktivieren, benutzen wir das Programm ethtool, das in vielen Fällen nützlich ist. Durch den Aufruf unter Angabe des Netzwerk-Interfaces erhalten Sie alle Informationen über die Netzwerkkarte:

# ethtool eth0
Settings for eth0:
        Supported ports: [ TP ]
        Supported link modes:   10baseT/Half 10baseT/Full
                                100baseT/Half 100baseT/Full
                                1000baseT/Full
        Supports auto-negotiation: Yes
        Advertised link modes:  10baseT/Half 10baseT/Full
                                100baseT/Half 100baseT/Full
                                1000baseT/Full
        Advertised auto-negotiation: Yes
        Speed: 1000Mb/s
        Duplex: Full
        Port: Twisted Pair
        PHYAD: 0
        Transceiver: internal
        Auto-negotiation: on
        Supports Wake-on: umbg
        Wake-on: d
        Current message level: 0x00000007 (7)
        Link detected: yes
Wichtig sind die beiden Zeilen
  Supports Wake-on: umbg
  Wake-on: g
Die erste Zeile listet die Möglichkeiten des Weckrufs auf. Bei meiner Karte werden u, m, b und g unterstützt. Die Bedeutung der Buchstaben zeigt folgende Tabelle:

Code Bedeutung
p Wake on phy activity
u Wake on unicast messages
m Wake on multicast messages
b Wake on broadcast messages
a Wake on ARP
g Wake on MagicPacket
s Enable SecureOn password for MagicPacket
d Disable (wake on nothing)

Wie man an der zweiten Zeile sieht, ist das WOL derzeit deaktiviert. Um WOL per Magic Packet zu aktivieren, genügt der Kommandoaufruf ethtool -s eth0 wol g. Damit man das nicht nach jedem Reboot des Rechners das Kommando von Hand eingeben muss, schreibt man es am besten in die Datei /etc/rc.local. Debian-User vermerken NETDOWN=no in der Datei /etc/default/halt, damit die Netzwerkkarte eingeschaltet bleibt.

Wie nun den Rechner aufwecken? Das Magische am "Magic Packet" ist gar nicht so magisch: Es wird ein Datenpaket an den Rechner gesendet, das aus sechs Bytes mit dem hexadezimalen Wert 0xFF besteht. Dann folgt 16-mal die Hardwareadresse (MAC-Adresse) der Netzwerkkarte. Die Daten können als nacktes Ethernet-Paket gesendet werden, oder per UDP bzw. TCP. Bei den meisten Linux-Distributionen ist ein Perl-Programm namens "wakeonlan" von Jose Pedro Oliveira enthalten, welches mit allem Komfort arbeitet. Es kann beispielsweise die MAC-Adressen der zu weckenden Rechner aus einer Datei lesen, einen ARP-Eintrag für die IP-Adresse hinzufügen usw.

Die einfachste Form des Weckrufs benötigt aber nur wenige Zeilen Perl. Die folgende Funktion überprüft zunächst, ob ihr eine gültige MAC-Adresse (xx:xx:xx:xx:xx:xx) übergeben wurde, und sendet dann den Weckruf per Broadcast aus. Die MAC-Adresse(n) werden auf der Kommandozeile übergeben:

use strict;
use warnings;
use Socket;

while (@ARGV)
  {  send_wol_broadcast(shift(@ARGV)); }

sub send_wol_broadcast
  {
  my $mac = shift;

  die "Fehler in MAC-Addrese $mac\n"
     if ($mac !~ /([0-9a-f]{2}:){5}[0-9a-f]{2}/i);

  # Doppelpunkte entfernen
  $mac =~ tr/://d;

  # Magic Packet: 6 x FF, 16 x MAC-Adresse
  my $magic = ("\xff" x 6) . (pack('H12', $mac) x 16);

  # Create socket
  socket(S, PF_INET, SOCK_DGRAM, getprotobyname('udp'))
     or die "Oops - Socket: $!\n";

  # Enable broadcast
  setsockopt(S, SOL_SOCKET, SO_BROADCAST, 1)
    or die "Oops - Setsockopt: $!\n";

  # Paket senden
  die "Oops - Send: $!\n" unless
     defined(send(S, $magic, 0, sockaddr_in(0x2fff, INADDR_BROADCAST)));
  close(S);
  }
Die zweite Version adressiert nur den Zielrechner über seine IP-Adresse. Dazu muss aber gegebenenfalls die Zuordnung MAC-Adresse zu IP-Adresse in die ARP-Tabelle geschrieben werden. Leider unterscheidet sich das entsprechende Kommando bei Linux und Windows bei der Angaben der MAC-Adresse:
Linux:   arp -s 197.54.85.222  00:aa:00:62:c6:09
Windows: arp -s 197.54.85.222  00-aa-00-62-c6-09
Im folgenden Listing sind beide Varianten berücksichtigt, da das Betriebssystem bekanntlich über die Variable $^O ermittelt werden kann. Zum Absetzen des arp-Kommandos sind jedoch auf jeden Fall Root-Rechte erforderlich.
use strict;
use warnings;
use Socket;

while (@ARGV)
  {send_wol_packet(shift(@ARGV),shift(@ARGV)); }

sub send_wol_packet
  {
  my $mac = shift;
  my $ip = shift;
  my $iaddr;
  
  die "Fehler in MAC-Addrese $mac\n"
    if ($mac !~ /([0-9a-f]{2}:){5}[0-9a-f]{2}/i);

  die "Fehler in IP-Adresse $ip\n"
    if (! defined($iaddr = inet_aton($ip)));

  # ARP-Eintrag schreiben
  if ($^O =~ /MSWIn/) 
    { $mac =~ s/:/-/g; }      # NUR bei Windows
  system("arp -s $ip $mac") == 0
  or die "Warning: arp command failed, you need to be root\n";

  # Doppelpunkte entfernen
  $mac =~ tr/://d;            # fuer Linux
  $mac =~ tr/-//d;            # fuer Windows

  # Magic packet: 6 x FF, 16 x MAC-Adresse
  my $magic = ("\xff" x 6) . (pack('H12', $mac) x 16);

  # Create socket
  socket(S, PF_INET, SOCK_DGRAM, getprotobyname('udp'))
  or die "Oops - Socket: $!\n";

  # Paket senden
  die "Oops - Send: $!\n" unless
    defined(send(S, $magic, 0, sockaddr_in(0x2fff, $iaddr)));
  close(S);
  }

Ethernetkarten konfigurieren unter Linux

Um die Parameter eines Netzwerk-Interfaces anzusehen oder um eine optimale Performance zu erzielen, braucht man ein Programm, das die Konfiguration des Interfaces gestattet. Unter Linux gibt es dafür "ethtool". Leider arbeiten nicht alle Treiber mit dem Programm zusammen.

In der Regel funktioniert eine Verbindung im Ethernet auch ohne weitere Konfiguration. Um die verfügbare Bandbreite optimal auszunutzen, gilt es einige Grundregeln: Die Duplexeinstellung mussebei beiden Linkpartnern gleich sein. Also entweder beide Seiten eines Link auf Autonegotiation oder beide Seiten fest auf die selben Parameter einstellen. Viele preiswerte Switches bieten keine Einstellmöglichkeiten und arbeiten immer mit Autonegotiation. Die Netzwerkkarten der angeschlossenen Clients müssen also auch auf "Auto" stehen.

Zur Anzeige der aktuellen Parameter wird "ethtool" mit dem entsprechenden Interface als Parameter aufgerufen. Hier die Ausgabe für das Interface eth0:

netzmafia:~# ethtool eth0
Settings for eth0:

        Supported ports: [ TP MII ]
        Supported link modes:   10baseT/Half 10baseT/Full
                                100baseT/Half 100baseT/Full
        Supports auto-negotiation: Yes
        Speed: 10Mb/s
        Duplex: Half
        Port: MII
        PHYAD: 0
        Transceiver: internal
        Auto-negotiation: off
        Supports Wake-on: d
        Wake-on: d

Mit ethtool ist es auch möglich, Einstellungen der Netzwerkkarte zu verändern. Das folgende Kommando stellt das Interface eth0 auf 100 MBit/s und Halbduplex ein.

ethtool -s eth0 speed 100 duplex half
Für "speed" sind die Parameter 10, 100 und 1000 erlaubt. Der Duplexmode kann auf "half" oder "full" eingestellt werden. Autonegotiation wird mit dem Paramter "autoneg on" eingeschaltet und mit "autoneg off" abgeschaltet.
ethtool -s eth0 autoneg on
Für Netzwerkinterfaces die WakeOnLAN (WOL) beherrschen (siehe oben), bietet ethtool auch einige Konfigurationsoptionen. Der Benutzer kann festlegen welche Art von Frame ein Aufwachen auslösen soll und ein Kennwort für Wake-on-LAN festlegen. Nicht alle Interfaces unterstützen diese Option.
ethtool -s eth0 wol <argument>
Das Argument von "wol" ist eine Kombination aus folgenden Buchstaben:
        p  Wake on phy activity
        u  Wake on unicast messages
        m  Wake on multicast messages
        b  Wake on broadcast messages
        a  Wake on ARP
        g  Wake on MagicPacket(tm)
        s  Enable SecureOn(tm) password for MagicPacket(tm)
        d  Disable (wake on nothing).  
Die Option "d" löscht auch alle anderen Optionen.
ethtool -s eth0 sopass xx:yy:zz:aa:bb:cc
Setzt das Wake-on-LAN-Passwort. Das Passwort wird als Folge von 6 Hexzahlen angegeben, die durch Doppelpunkte getrennt sind.

Neuere Netzwerkkarten haben mitunter die Möglichkeit, eine LED manuell blinken zu lassen. Das ist zum Identifizieren einer Karte in komplexen Umgebungen sehr hilfreich. Dazu dient der Parameter "-p":

ethtool -p eth1

Tabellen

Normen
Abkürzung, Begriff Erläuterung
ISO International Standard Organization, internationale Normungsorganisation. www.iso.ch
IEC International Electrotechnical Commission , Internationale Elektrotechnische Kommission, erstellt und veröffentlicht internationale Normen für Elektrotechnik, Elektronik und verwandtze Gebiete. www.iec.ch
IEC 11801 Die internationale Entsprechung der TIA568B: Norm zur Definition strukturierter Gebäudeverkabelungen. Legt auch die bekannten ISO-Klassen D, E, und F fest.
Klasse D Leistungsklasse für strukturierte Gebäudeverkabelung nach ISO/IEC 11801 bis 100MHz
Klasse E Leistungsklasse für strukturierte Gebäudeverkabelung nach ISO/IEC 11801 bis 250MHz (Entwurf)
Klasse F Leistungsklasse für strukturierte Gebäudeverkabelung nach ISO/IEC 11801 bis 600MHz (Entwurf)
OSI Open Systems Interconnection, globaler Rahmen für die Standardisierung "Offener Kommunikation" zwischen kooperierenden Systemen. Die 7 Schichten des OSI-Referenzmodells zerlegen, losgelöst von speziellen Implementierungen, den Funktionskomplex Kommunikation in sieben schichtdiskrete hierarchische Teilprozesse.
TIA Telecommunications Industry Association, US-amerikanische Normungsorganisation für (u.a.) Netzwerkstandards. http://www.tiaonline.org
TIA 568A Commercial Building Telecommunications Cabling Standard, US-Norm zur Definition strukturierter Gebäudeverkabelungen. Legt auch die bekannten Cat 5, Cat 5e, Cat 6 etc. fest.
TIA 568B Heute (seit April 2001) gültige Version der US-Norm
Cat 5 Engl. Abk. für Category 5 (Kategorie 5), Leistungsklasse für strukturierte Gebäudeverkabelung nach TIA568 bis 100MHz, legt (unter anderem) die bei der Endabnahme (Zertifizierung) anzuwendenden Grenzwerte für die zu messenden Parameter fest.
Cat 5e "verbesserte" (engl. enhanced) Cat 5 mit etwas verschärften Grenzwerten bis 100MHz, die ausreichende Reserven zur Übertragung von Gigabit Ethernet (1000BaseT), für die Cat 5 ursprünglich nicht vorgesehen war, sicherstellen soll. Entspricht ISO 11801 Klasse D.
Cat 6 Leistungsklasse für strukturierte Gebäudeverkabelung nach TIA568 bis 250MHz (Entwurf)
Cat 7 Leistungsklasse für strukturierte Gebäudeverkabelung nach TIA568 bis 600MHz (Entwurf)
EN European Norm, dt. Europäische Norm. Oberbegriff für die vom CEN (Comité Européenne de Normalisation) und CENELEC (Comité Européenne de Normalisation Electrotechnique) erarbeiteten Normen.
EN 50173 "Europäisierte" Entsprechung der IEC 11801: Norm zur Definition strukturierter Gebäudeverkabelungen.

Schnittstellendefinitionen/Steckernormen
Abkürzung, Begriff Erläuterung
RJ-45 Registered Jack, 8-Poliger Stecker
BNC Bayonet Neill Concelman, für Koax-Verkabelungen üblicher Bayonet-Steckverbindertyp
RS-232, RS-232C Recommended Standard 232, serielle Schnittstelle, an PCs heutzutage meist mit DB-9 Steckergesicht
DB-9, DB-9M, DB-9F In der Computer- und Telekommunikationstechnik verbreiteter 9-poliger Standard-Steckerverbinder. Einsatzbeispiele: Token-Ring- und FDDI-Netze (STP), serielles Interface DB-9M (IBM AT Standard) eines Personalcomputers.
10 Base T Standard: IEEE 802.3, steht für Ethernet mit 10 Mbit/s Übertragungsgeschwindigkeit, Basisbandübertragung und TP-Verkabelung (Twisted Pair)
100 Base TX "Fast Ethernet" mit 100 Mbit/s
Twinax Twinaxialkabel, elektrisches Nachrichtenkabel, dessen Aufbau dem Koaxialkabel ähnelt, das jedoch zwei Innenleiter aufweist
Siemon Tera "CAT 7" Steckverbinder, bei dem bis zu 4 Aderpaare einzeln geschirmt durch die Steckverbindung geführt werden. Weist gegenüber RJ-45 Steckverbinder weit bessere Leistungsdaten auf und kann daher bis zu weit höheren Frequenzen eingesetzt werden. www.siemon.com
Kerpen E-Line 600 Weiterer "CAT 7" Steckverbinder, bei dem bis zu 4 Aderpaare einzeln geschirmt durch die Steckverbindung geführt werden. Weist gegenüber RJ-45 Steckverbinder weit bessere Leistungsdaten auf und kann daher bis zu weit höheren Frequenzen eingesetzt werden. www.kerpen.com

Weitere Infos zur Verkabelungspraxis finden Sie im Kapitel Twisted-Pair-Verkabelung und Netzplanung.

Zum vorhergehenden Abschnitt Zum Inhaltsverzeichnis Zum nächsten Abschnitt


Copyright © Hochschule München, FK 04, Prof. Jürgen Plate
Letzte Aktualisierung: